Shop Electrodes by Application
Our products can be used in a wide range of applications. Our electrodes are manufactured accurately with first-class engineering and are ideal for quality results in various applications.
The measurement of sodium in food is important due to the link between high blood pressure (hypertension) and sodium concentration. The sodium level is found by the technique of known addition.
Blend contents of sample including any water. Weigh a 10 g sample and dilute to 100 ml with DI ionised water. Mix and transfer to a clean, dry 150 ml beaker. Add 2ml of ISAB per 50ml of sample or standards. Stir all samples and standards during the measuring process.
Take 100 ml of sample, immerse electrode and record the electrode potential mV. Pipette 5 ml of standard (see below table), stir thoroughly, allow for stabilisation and record the electrode potential mV.
| For Samples between | Per 100g of sample use |
| 0-5mg Na+ | 100ppm Standard |
| 5-50mg Na+ | 1000ppm Standard |
| 50-100mg Na+ | 2000ppm Standard |

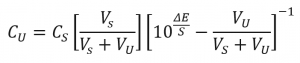
Where:
Cu= Concentration of unknown ion
Cs= Concentration of Standard addition
Vs = Volume of Standard addition
V¬U= Volume of sample
ΔE = Change in electrode potential in mV
S = Slope of electrode in mV
The difference in the measurements mV2-mV1=ΔE. An accurate value of the electrode slope will be required, this can be found by producing a calibration curve using the 100 and 1000 ppm standards. To determine the mg per cent (mg/100 g of food), multiply the answer obtained from the equation for known addition by 10.
For more information on this application contact our team.
Download the Application Note Here >
Copyright 2026 Sentek Limited. All Rights Reserved.
Marketing by Unity Online